2022年9月22日,beat365官方网站药物研究所天然药物活性物质与功能国家重点实验室王琰研究员、蒋建东院士与协和医院孙劲旅教授等在国际著名期刊Engineering《工程》在线发表了题为“Multi-Omics Analysis Provides Insight into the Possible Molecular Mechanism of Hay Fever Based on Gut Microbiota”(基于肠道菌的多组学分析揭示了花粉过敏的可能分子机制)论文,首次采用多组学技术阐明了肠道菌介导花粉过敏的可能分子机制。
花粉过敏性疾病又名花粉症、枯草热,临床上通常将花粉诱发的过敏性鼻炎、过敏性结膜炎、过敏性咳嗽/哮喘及皮肤过敏统称为花粉症。其中,花粉过敏性鼻炎是指由于花粉引起的一种鼻腔里过敏性炎症,主要影响上呼吸系统。迄今为止,源自草和树木的150多个花粉过敏原已在全球范围内得到确认。关于花粉过敏病理学的主流学说主要集中于免疫系统失衡,但目前还没有一个全面的理论可以解释花粉过敏的病理过程。
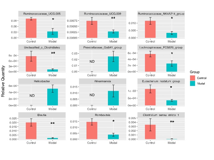
本研究团队从肠道菌入手,采用非靶向代谢组学结合微生物组学方法,寻找发生花粉过敏可能的分子机制。研究发现,过敏组大鼠血中缬氨酸、异亮氨酸、天冬氨酸、谷氨酸、谷氨酰胺、丙酸吲哚(IPA)和肌醇含量显著降低,而粪便中短链脂肪酸(SCFAs)减少。肠道菌产生的小分子代谢物BCAAs/IPA/SCFAs和特征菌Helicobacter pylori /Akkermansia muciniphila可能通过抑制Claudin蛋白表达和影响粘液层而破坏肠道屏障功能,使免疫功能受损和病原体敏感性增加,进而导致花粉过敏。这些发现不仅为微生物在花粉过敏发生过程中的作用提供了重要信息,而且提示逆转肠道渗漏可能是预防和干预花粉过敏的有效策略。

图1过敏模型组肠道菌单变量分析

图2肠道菌介导花粉过敏的可能分子机制
本研究获得beat365官方网站医学与健康科技创新工程(2016-I2M-3-011和2016-I2M-1-003)、NSFC(No. 81971515和 81973290)和北京市重点实验室(Z141102004414062)等项目资助。药物所韩珮,协和医院李丽莎、王子熹,北京同仁医院锡琳为本文共同第一作者;药物所蒋建东、王琰,协和医院孙劲旅,北京同仁医院王向东为本文共同通讯作者。
原文链接: https://www.sciencedirect.com/science/article/pii/S2095809921001910
1