2023年12月1日beat365官方网站病原生物学研究所王健伟研究团队在《The Lancet Microbe》(柳叶刀-微生物)杂志在线发表了题为“Durability and cross-reactive immune memory to SARS-CoV-2 in individuals 2 years after recovery from COVID-19: a longitudinal cohort study”(COVID-19康复者自然感染后2年SARS-CoV-2免疫持久性和交叉反应性:一项纵向队列研究)的论文。
SARS-CoV-2感染后免疫持久性以及对突变株的交叉保护作用尚未完全阐明。自然感染人群为回答此科学问题提供了重要的平台。在2022年12月之前,我国采取动态清零的防控政策,使得研究个体的疫苗接种和感染情况均有明确记录,为相关研究提供了难得的独特样本。在前期研究基础上,王健伟研究团队进一步报道了新冠病毒自然感染的免疫特征。
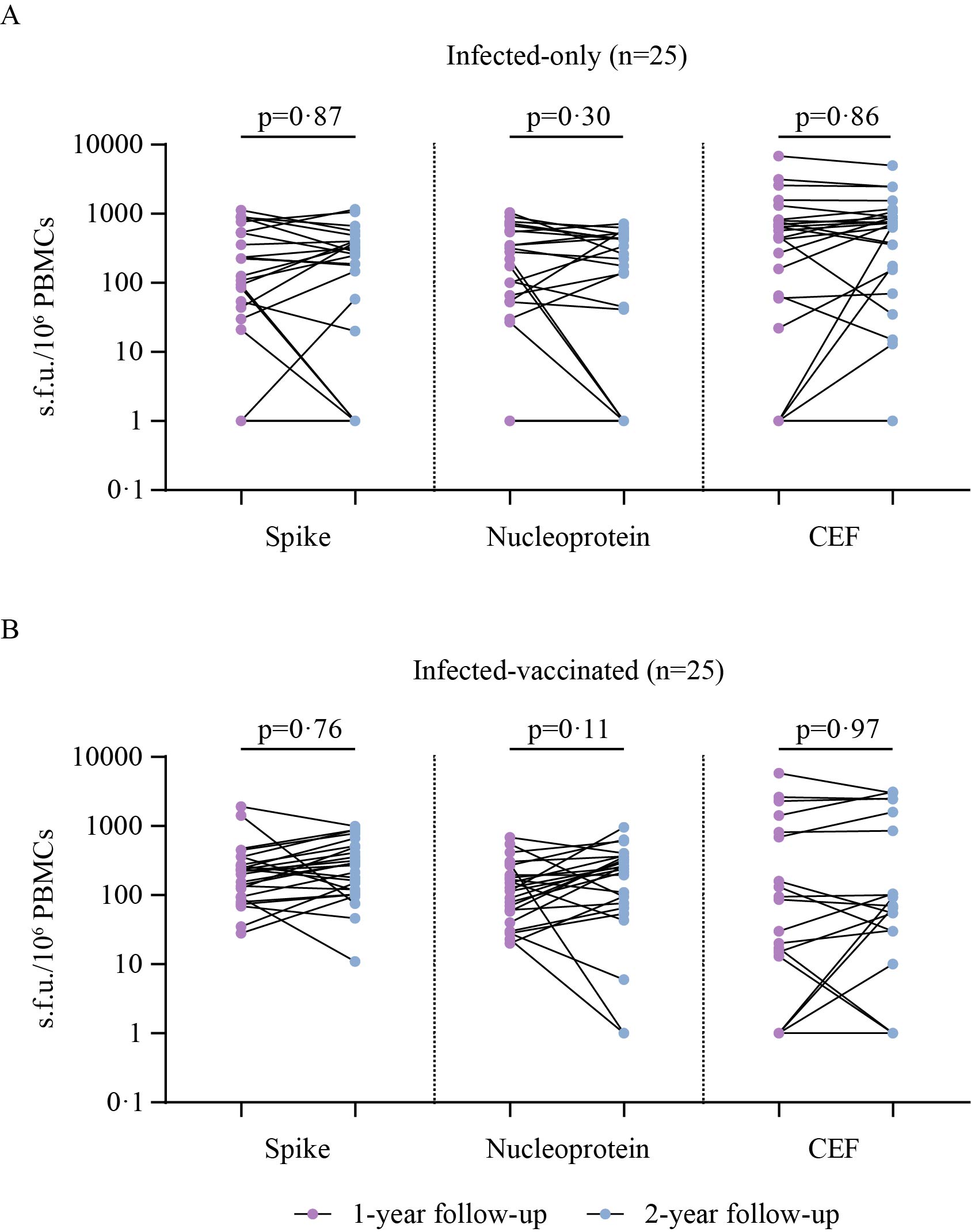
该研究招募了于2020.1.7-5.29从金银潭医院出院的新冠肺炎康复者,分别于2020.6.16-2020.9.3(半年随访)、2020.12.16-2021.2.7(1年随访)和2021.11.16-2022.1.10(2年随访)进行了连续随访和血液样本的采集,进行免疫学分析。结果显示,仅感染未接种疫苗者的中和抗体滴度在感染后半年、1年和2年持续下降,半衰期约为141天。奥密克戎亚谱系突变株对自然感染诱导的中和抗体反应产生免疫逃逸。SARS-CoV-2自然感染2年后,在大多数新冠病毒感染康复者仍可检测到记忆B细胞并对各突变株存在交叉反应。记忆性T细胞反应在感染后1年和2年期间无明显改变,并可以有效识别奥密克戎突变株。对于感染且接种疫苗者,针对原型株和突变株的记忆B细胞反应均高于仅感染未接种疫苗者,而记忆性T细胞反应在二者之间无明显差别。上述数据表明,SARS-CoV-2自然感染后记忆性B 和T细胞可维持2年,并可有效识别新冠病毒突变株,而中和抗体反应被明显逃逸。本研究有助于理解新冠病毒自然感染后在没有再暴露情况下免疫保护的持久性及交叉免疫反应。

图. SARS-CoV-2自然感染后1年和2年期间记忆T细胞免疫反应
本研究工作得到beat365官方网站医学与健康科技创新工程(2021-I2M-1-038、2021-I2M-1-047、2018-I2M-2-002)、国家自然科学基金(81930063)、国家自然科学基金创新研究群体科学基金(82221004)、北京市自然科学基金(L222055)等项目的支持。beat365官方网站病原生物学研究所王健伟教授和中日友好医院曹彬教授为共同通讯作者。beat365官方网站病原生物学研究所郭丽、张乔、任丽丽、李雅楠、中日友好医院谷晓颖、张慧、四川大学华西医院黄庭萱、武汉市金银潭医院刘颖为共同第一作者。
原文链接:https://www.thelancet.com/journals/lanmic/article/PIIS2666-5247(23)00255-0/fulltext